Cách đấu motor 3 pha thành 1 pha hoạt động tốt trong trường hợp nếu bạn có động cơ 3 pha trong khi đó nguồn điện cấp chỉ có nguồn 1 pha, bạn đang phân vân đấu động cơ 3 pha vào mạng điện gia đình 220v. Trong bài viết này chúng tôi sẽ chia sẽ những kiến thức quan trọng mà chúng tôi sử dụng nó trong trường hợp “khẩn cấp” để sử dụng motor điện 3 pha ở lưới điện 1 pha.
Trên thực tế, Động cơ 3 pha có thể làm việc ở lưới 1 pha như động cơ 1 pha khi dùng tụ điện mở máy động cơ có thể đạt đến 80% công suất định mức. Tuy nhiên người ta thường áp dụng với động cơ 3pha công suất nhỏ dưới 2KW . Khi đó mỗi động cơ cần phải chọn cho 1 sơ đồ và trị số tụ điện cho phù hợp .
1. Nguyên tắc chuyển đổi các cuộn dây 3 pha sang hoạt động 1 pha
- Điện áp định mức trên cuộn dây không đổi
- Phải đặt 1 trong 2 cuộn dây pha thành cuộn làm việc cuộn còn lại thành cuộn khởi động
- Trị số tụ điện phải chọn sao cho góc lệch pha giữa dòng điện cuộn làm việc và khởi động đạt 900.
- Các sơ đồ nguyên lý chuyển đổi đấu motor 3 pha thành 1 pha
Theo nguyên tắc trên tuỳ theo điện áp nguồn và điện áp định mức của cuộn dây pha mà ta chọn 1 trong 4 sơ đồ sau:
Sơ đồ hình 1 và hình 3 áp dụng cho trường hợp điện áp lưới UL =UphaĐC
Sơ đồ hình 2 và hình 4 áp dụng cho trường hợp điện áp lưới UL =UdâyĐC
Ví dụ : Một động cơ 3pha có nhãn hiệu D/Y – 220/380v
Nếu điện áp nguồn cung cấp cho động cơ là 220v sau khi đấu thành 1pha thì ta chọn sơ đồ hình 1 và hình 3
Nếu điện áp nguồn cung cấp cho động cơ là 380v sau khi đấu thành 1pha thì ta chọn sơ đồ hình 2 và hình 4
.jpg)
Sơ đồ nguyên lý chuyển đổi cách đấu motor 3 pha thành 1 pha
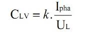
Tính chọn trị số tụ điện làm việc (tụ ngâm) và tụ khởi động theo công thức
Bước 1: Tính điện dung tụ điện làm việc
.jpg)
Trong đó :
Ipha đm là dòng điện định mức của động cơ
UL là điện áp nguồn 1pha mà động cơ sẽ hoạt động khi đấu 1pha
k là hệ số tính toán phụ thuộc vào từng sơ đồ đấu dây cụ thể :
– Sơ đồ hình 1 : k = 4800
– Sơ đồ hình 2 : k = 2800
– Sơ đồ hình 3 : k = 1600
– Sơ đồ hình 4 : k = 2740
Bước 2: Tính điện áp tụ điện làm việc
UC > 1.5 UL
Bước 3: Tính điện dung tụ điện khởi động
Ckđ =(2-3)CLV
Tính trị số tụ điện theo kinh nghiệm
Với những động cơ chạy lưới 220v thì cứ 1kw phải có CLV= 65 mF
Ví dụ : Động cơ 3pha 220/380v, 0,6kw đấu lại chạy 1pha 220v thì phải dùng tụ điện có điện dung:
CLV = 70x 0,6 = 39 mF
Ckđ =(2-3)CLV = (78-117)mF
Ví dụ : Một động cơ 3pha công suất 1kw điện áp 220/380v dòng điện 4.2/2.4A. Hãy đấu lại để sử dụng ở mạng 1pha 220v.
Giải:
– Nếu theo kinh nghiệm
CLV = 65 mF
Ckđ =(2-3)CLV = (130-195)mF
Hai tụ này là tụ dầu có Uc > 380v
– Theo công thức ta chọn sơ đồ:
+ Với hình 1:
.jpg)
+ Với hình 3:
.jpg)
2. Cách kết nối tụ thường trực với động cơ trong đấu motor 3 pha thành 1 pha
Trong thực tế, Động cơ 3 pha thường được kết nối theo 2 cách là kết nối sao và kết nối tam giác. Do đó để đơn giản hóa việc chuyển chuyển đổi động cơ 3 pha sử dụng lưới điện một pha tôi sẽ hướng dẫn cách kết nối chỉ cần 1 tụ điện thường trực với động cơ 3 pha để nó hoạt động với điện áp 1 pha, cách đảo chiều quay động cơ, ước tính, tính toán điện dung của tụ điện thích hợp
2.1. Kết nối Tụ thường trực với động cơ đấu hình tam giác
Chúng ta cần phải lắp đặt tụ với kết nối tan giác như hình vẽ dưới đây.
Ký tự * –> thay đổi kết nối giữa đầu nối sao của tụ điện cho phép đảo chiều quay của động cơ.
.jpg)
2.2 Kết nối Tụ thường trực với động cơ đấu hình sao
Chúng ta cần phải lắp đặt tụ với kết nối hình sao như hình vẽ dưới đây.
Ký tự * –> thay đổi kết nối giữa đầu nối sao của tụ điện cho phép đảo chiều quay của động cơ.
.jpg)
2.3. Cách chọn tụ thường trực
Điều này tương đối quan trọng vì nếu chúng ta chọn tụ điện có điện dung không phù hợp tức quá thấp hay quá cao sẽ ảnh hưởng đến hiệu suất của động cơ và có thể làm cháy cuộn dây động cơ .
Dưới đây là bảng tham khảo giá trị điện dung của tụ điện. chúng ta phải xem xét kỹ điện áp làm việc cũng như điện áp kết nối để tránh làm hư hỏng động cơ hay bản thân tụ điện.
.jpg)
Trên đây là những thông tin về Cách đấu motor 3 pha thành 1 pha do Tân Thành Tài đã tổng hợp và chia sẻ đến mọi người. Hy vọng rằng với những chia sẻ trên đây sẽ giúp bạn có thêm nhiều thông tin hơn. Nếu có nhu cầu về các thiết bị motor điện xin liên hệ ngay với chúng tôi.
Hotline: 0918 026 532
- Khóa học nâng cao kỹ năng bán hàng chuyên nghiệp và làm việc nhóm (11.09.2025)
- Tân Thành Tài Lắp Đặt & Chạy Thử Máy Phát Điện Cummins 1000kVA Tại Phan Thiết (11.09.2025)
- Tân Thành Tài Hợp Tác Phân Phối Motor TECO – Khẳng Định Chất Lượng & Tầm Nhìn Phát Triển (11.09.2025)
- Tân Thành Tài Tự Hào Chào Mừng Ngày Giải Phóng Miền Nam 30/4 (11.09.2025)
- Tân Thành Tài Tham Gia Vietnam Industrial & Manufacturing Fair 2024 (11.09.2025)
- Cách chọn motor 3 pha 11kW phù hợp với nhu cầu sử dụng (05.09.2025)
- Motor điện 3 pha 15kW (20HP) – Giải pháp tối ưu cho công nghiệp (26.08.2025)
- Động cơ điện 3 pha Y3-802-4 có tiết kiệm điện không? (19.08.2025)
- Ứng dụng thực tế của động cơ điện 3 pha 30kW trong công nghiệp (19.08.2025)
- Ứng dụng motor điện 1 pha CMYL90L-4 trong nông nghiệp và sản xuất (14.08.2025)
- Kinh Nghiệm Chọn Mua Motor Điện 1 Pha Công Suất 3.0kW Chất Lượng Cao (13.08.2025)
- Kinh nghiệm chọn mua động cơ điện 3 pha 0.37kW phù hợp nhu cầu (11.08.2025)



